即時連線數:69 參觀總人數:2073227

頁面路徑選單

常見問題
12下一頁 > 共 51
  • 我們是空調設備商,貴司有提供寶壓記錄器的服務?需求範圍0-10kg,最短租期以10天計價(報價請另來電詢問),原廠附的簡易版測試報告如下
    相關連結 檔案下載
    • facebook
    • Twitter
    • Weibo
  • 市面上設備超標時,除了現場發出警報聲外,可否利用手機/Email或網路立即發報?有哪些產品適用呢?
  • 壓力單位如何轉換?
    • facebook
    • Twitter
    • Weibo
  • 圓盤壓力記錄器有幾種尺寸? 皆為機械式嗎? (電池操作)
    • facebook
    • Twitter
    • Weibo

    4”圓盤壓力記錄器 >> https://www.umarket.com.tw/ugC_ShowroomItem_Detail.asp?hidShowID=1774

     

     

    6”圓盤壓力記錄器 >> https://www.umarket.com.tw/ugC_ShowroomItem_Detail.asp?hidShowID=240

     

    8”圓盤壓力記錄器 >> https://www.umarket.com.tw/ugC_ShowroomItem_Detail.asp?hidShowID=2347

     

    8”圓盤壓力記錄器 >> https://www.umarket.com.tw/ugC_ShowroomItem_Detail.asp?hidShowID=1949

     
  • 製作熱電偶前需提供哪些訊息?
    檔案下載
    • facebook
    • Twitter
    • Weibo

  • 簡單四步讓你正確使用達因筆
    • facebook
    • Twitter
    • Weibo

    實驗準備

    閱讀安全數據表並穿戴適當的 PPE。

    採用標準化的測試程式。

    切勿使用已過時或筆尖已被污染的筆。

    始終將測試筆存放在室溫下。

    始終在乾淨、水平的測試區域進行測試。

    確保測試筆中的液體不會與被測材料發生不良反應或浸入材料中並導致材料膨脹。

    始終在室溫下進行測試,切勿在非常潮濕的環境中進行。

    始終在材料樣本的至少 3 個不同位置進行測試。

    請勿觸摸要測試的區域。

    在材料的清潔區域進行測試,並且永遠不要在同一區域重新測試。

    https://www.smartmeter.com.tw

     

    如何使用達因筆?

    四個簡單的測量步驟:

    1. 選擇您認為會低於測試樣品的達因筆

    2. 將筆尖牢牢按在樣品上,直到筆尖被測試液浸透

    3. 輕輕地將筆在表面上畫出 3 次平行通道,每個通道長約 100 毫米,忽略前 2 次通道,因為它們用於沖洗筆尖。 僅評估第三遍。

    4. 如果墨水在樣品上保持濕潤 3 秒或更長時間,則使用下一個更高的達因水準筆重複步驟 2 和 3。 如果最後一種墨水在 1 秒或更短時間內將珠子捲起,則使用下一個較低值的達因筆重複步驟 2 和 3。 如果墨水條在失去完整性之前保持 1 到 3 秒,則該筆的達因水準接近材料的值

  • 達因筆的具體測試方法?
    • facebook
    • Twitter
    • Weibo

    達因筆是一種用於準確的測試出塑膠薄膜之表面張力是否達到試筆的數值的表面張力測試筆。 以便瞭解此塑膠薄膜是否適合於印刷,複合或鍍鋁。 有效的控制品質及減少因材質不合格所造成的工具延誤。 其實達因筆並不僅限於塑膠薄膜,還可以測試其他平面材料的表面張力。


     

    一般來說,薄膜基材形成墨滴、塗層和其表面的能量相關。 如果基材表面的能量低於所塗測試液的表面的張力,則形成珠點和畫線收縮(如圖中1所示),這就是所謂的潤濕。 大多數塑膠基材的原始表面張力都比較小,幾種聚合物的原始表面張力大致如下:

     

    表一 部分塑膠表面張力(mN/m,20°C)

           

    塑料

    表 面 張 力

    塑料

    表 面 張 力

    PTFE聚四氟乙烯

    18.5

    PVC

    39

    PVF聚偏二氟乙烯

    28

    PMMA

    39

    PCTFE聚三氟氯乙烯

    31

    PVDC

    40

    PE、PP

    31

    PET

    44

    PS

    33

       


     

    通常用作油墨溶劑的表面能為:乙醇22 mN/m、醋酸乙酯24 mN/m,而配製油墨需要加入樹脂、粘結料、顏料、助劑后,表面張力一般要在38-42達因左右。 塑膠表面張力數值與成型溫度、降溫速度、添加劑和是否處理都有關係,所以彩印常用的BOPP薄膜在印刷前要進行電暈處理,使其表面張力不能小於油墨的表面張力,這樣才能達到潤濕,如下圖。

    圖一、薄膜-油墨潤濕張力示意圖


     

    圖中θ是潤濕角。 顯然,當θ>90°則因潤濕張力小而不潤濕; θ<90°時則潤濕; 而在θ=0°時,可以完全潤濕。 可以看出,薄膜的表面張力最少要在38達因以上,才能讓其與油墨的潤濕角小於90°,做到潤濕,這樣印刷效果才比較好。

     

    如果要薄膜的表面張力進一步加大,或者油墨的表面張力降低印刷效果會不會更好呢? 所謂潤濕角為零行不行呢,可以準確的說,拋開成本和物理上的可行不論,理論上那樣一點點油墨會鋪滿整張薄膜,各種顏色會混在一起,再也看不見圖案了。

     

    對多數薄膜來說,在印刷前測試薄膜的表面張力,要求達因筆在36-40達因/釐米之間。

     

    而尼龍要求52達因/釐米左右,PET要求48達因/釐米左右配備達因筆。

     

    使用方法:達因筆垂直於薄膜平面,加上適當的壓力,輕輕在薄膜表面上畫一條線(見下圖)。 一般需要3支相鄰型達因數的達因筆。

    不同達因數的達因筆對薄膜劃線效果圖

     

    分析結果

    1、畫線很平均地分佈,不起任何珠點,則說明該薄膜表面張力,高於達因筆上所標出的指數,這種情況可以印刷。

     

    2、畫線慢慢地收縮,則說明該薄膜表面張力,稍低於達因筆上所標出的指數。 這種情況印刷效果不好。

     

    3、畫線立即收縮,並且形成珠點,則說明該薄膜表面張力,很低於達因筆所標出的指數。 這種情況不能印刷。

     

    兩種方法都簡單快速有效,僅在基材表面劃出一道痕(長度10~20mm)就能很快知道測試結果。 這是專門為生產線的測試而設計的,由工廠經過培訓的操作員進行。 測度試時,應選擇一個中間值來作起點,如達因筆38mN/m測試時,如果在2秒內測試筆濕了基材表面,則基材表面張力比所選值要大或正好,那麼須要選一更大值的測試筆進行第二次測試,如此類推,直到其測試結果在2秒內收縮成水珠狀(劃痕內分佈較為均勻的小水球狀)時,則這次測試之前一次的值就被視為該基材的表面值。

     

    如果第一次測試在基材劃痕內就收縮成水珠狀,則換上數值更小的測試筆來進行第二次測試,直到該基材的表面濕為止(劃上去的痕跡數秒后仍舊無變化)則這次測試的值就被視為該基材的表面值。

     

    這種方法能準確測試出該基材的表面張力/表面濕力並判定工作前該基材表面因素是否符合要求以便 調整油墨/塗層/黏度到工作所需。

     

    表面張力/表面濕力測試筆對於準確測定印刷油墨和其它材料在Polyolefinic表面的粘結狀況是個非常明確的標準,但影響粘度的還有其它因素,如靜電及諸多的添加劑等,然而這些因素在測試時卻不常顯示出,甚至是測試結果很好但實際卻不符合要求。 這就需要和原料供應商討論這些技術問題,一般來說以上情況對他們來說是不會發生的,且表面值在38~41mN/m即能達到粘度要求,而表面張力在36mN/m以下時會造成印刷粘結狀況不好。

     

    表面張力/表面濕力測試筆也能準確測定金屬零件等材料表面含油成份的。

     

    表面張力/表面濕力測試筆使用時用力拔出筆蓋,並把筆蓋鑲嵌在筆身尾端,以免丟失。 使用后應隨時把筆蓋蓋好,以免筆身內汽液體從筆尖揮發,影響以後的測試準確度。

     

    蓋筆蓋時,應聽到很清脆的“啪”聲,即為蓋到位了。

     

    表面張力/表面濕力測試筆不易儲存在25°C以上的地方,更不能靠近有明火的地方。

     

    表面張力/表面濕力測試筆不能讓兒童小孩接觸。

     
  • 超音波流量計如何應用於管內液體量測?
    • facebook
    • Twitter
    • Weibo

    優點

    安全性

    接觸件腐蝕

    →洩漏危險性

    →流體汙染

    管外測量

    不接觸

    →無洩漏危險

    →不流體汙染

    →不停車安裝

    →方便比對、校正

     

    ➢ 操作容易, 快速反應, 精準測量

    ◆ 操作容易

      ⚫ 自動辨識探頭

      ⚫ 安裝快速

      ⚫ 一般情形5分鐘可完成一點測量 (無保溫)

    ◆ 精準測量

      ⚫ 探頭有溫度補償 (內置RTD, 依據ASME MFC-5.1-2011)

      ⚫ TAF 確認 (or 定期校正)

    ◆ 另請告知

      ⚫ 口徑?

      ⚫ 現場配管材質?

      ⚫ 流體?

      ⚫ 接續方式?

      ⚫ 使用流量範圍?

      ⚫ 溫度?

      ⚫ 壓力?

    以上請客戶提供

  • Omega測溫線徑規格(AWG)對照表?
    檔案下載
    • facebook
    • Twitter
    • Weibo
  • 壓力單位如何換算?
    • facebook
    • Twitter
    • Weibo
  • 選購記錄筆注意事項?
    相關連結 
    • facebook
    • Twitter
    • Weibo

    確認訂購,需再次提供樣品

  • CPU扣具壓力測試機,購買時需提供哪些項目?
    相關連結 
    • facebook
    • Twitter
    • Weibo

    測量產品:顯示卡的散熱模組
    壓力範圍:0~30kg
    固定方式:鎖固彈簧螺絲或是彈片
    功能要求:驗證晶片上的壓力值

  • 熱電偶原理與特性?
    檔案下載
    • facebook
    • Twitter
    • Weibo

    熱電偶之原理:

    若將二種不同的金屬線A與B互相連接成一個迴路,且在兩個接合點間給予溫度差,則在金屬線的兩端會產生熱電動勢E,這種因為溫度差所造成的熱電壓效應稱為席貝克(Seebeck)效應。而熱電動勢E的大小與金屬線AB之材料性質有關,並和兩端點溫度差互成比例的關係。一般在利用熱電偶量測溫度時,其產生的熱電動勢很小(約10μV左右),所以必須再加裝一放大器來放大電壓訊號。

    熱電偶之特性: 

    • 可量測之溫度範圍廣泛,且感測器大多已規格化
    • 熱電偶的最高使用溫度與金屬線徑大小、材料有關
    • 不必附加其他電源來驅動感測器
    • 可藉由電路的設計獲得極佳之精確度

    熱電偶之種類:

    熱電偶記號 測定溫度範圍(℃) 熱電動勢(mV) 優點 缺點 材料
    + -
    高溫用  

    K

     

    -200~1200

    -5.89/-200℃

    48.8/1200℃

    1.廣泛應用於工業

    2.抗酸性佳

    具線性性質

    1.不適用於CO及亞硫酸瓦斯中

    2.在高溫還原性空氣中會劣化

    鋁、錳、矽等鎳合金
    中溫用

     

     

    E

    -200~800

     

    -8.82/-200℃

    61.02/800℃

    1.具有最大之熱電動勢 1.不可耐於還原性空氣中使用

    2.電氣電阻大

    J -200~350 -7.89/-200℃

    72.28/750℃

    1.可耐於還原性空氣中使用 1.容易生鏽

    低溫用  

    T

     

    -200~350

    -5.6/-200℃

    17.82/350℃

    1.在弱酸性、還原性空氣中很安定 1.300℃以上銅會氧化

    超高溫用

     

     

    B

    500~1700 1.24/500℃

    12.4/1700℃

    1.能耐於酸性空氣中 1.不可耐於還原性空氣中使用

    白金

    白金

    R 0~1600 0/0℃

    18.84/1600℃

       

    白金

    白金
    S 0~1600 -7.89/-200℃

    72.28/750℃

       

    白金

    白金
  • 螺牙規格與安裝直徑對應表
    • facebook
    • Twitter
    • Weibo
  • 工程單位換算,網路版快速連結
    相關連結 
    • facebook
    • Twitter
    • Weibo
  • SDK和API的區別?
    • facebook
    • Twitter
    • Weibo

    SDK就是Kit,工具箱嘛,IOS平臺上就是XCode,一系列的工具組合在一起,比如你在編輯器裡敲程式碼的時候它會自動補全程式碼,自動錯誤檢查,你點一下Run,它會呼叫編譯器來自動編譯,編譯完它會呼叫iPhone的模擬器來執行,這就是SDK,提供整套的開發工具供開發者使用。

    OpenAPI就是網站提供的介面,比如你想開發一個圍脖的手機客戶端,你從哪裡讀取資料寫入資料呢?總不能從Web版裡呼叫吧?那裡是一堆一堆的html程式碼啊,所以OpenAPI就是網站提供的介面,供開發者接入用的。

    ==================================================
    輸入簡體字,點下面繁體字API ? SDK? 傻傻分清楚

    SDK (Software Development Kit)翻譯成中文就是”軟體開發工具組”
    是用來幫一個 產品 或 平臺 開發應用程式的工具組,由產品的廠商提供給開發者使用的。
    通常是 某一家廠商 針對某一 平臺 或 系統 或 硬體 所釋出出來用以開發應用程式的工具組,
    在這個工具包裡面,可能包含了各式各樣的開發工具,模擬器等。
    例如:給 Android平臺 使用的 Android SDK 就是用來開發 Android系統上面的應用程式。

     

    API (Application Programming Interface)
    翻譯成中文就是”應用程式介面”,其實這樣翻譯不好,應該說是”程式溝通介面”。
    翻譯為介面,顧名思義就要溝通兩個不同的東西用的,通常由一組函式庫所組成。
    在一個 同一個平臺 下的 兩個不同東西(程式 or 系統),為了能取用對方的功能等等,
    所以一個 X程式 寫了一組函式,讓 同一平臺的其他程式 取用 X程式 的功能,
    那組函式就可以說是那個 X程式 對外開放的 API。
    例如:我要在 自己的網頁 上加入 google map網頁的功能,就使用 “google map API”

     

    有時候 SDK(開發者工具包) 裡也會帶有些許 API 用來呼叫一些系統平臺程式提供的功能
    例如說:視窗顯示,圖形特效等等。
    以下舉一個實際例子來說明,呼叫系統程式功能的API 是怎麼一回事
    開發Windows應用程式的SDK(開發者工具包) 裡就包含 Win32 API
    說明: Win32 API 是一個函式庫,可以給Windows應用程式 呼叫 Windows系統的功能

     

    在PTT看到有人問了差異性,我的看法是
    SDK是用來開發某一個平臺的程式的工具包,API 是讓同一平臺下的程式取用它的功能的函式庫。
    以及下面的評論
    1.API 通常大家都不會弄錯,的確就是以功能為導向的”方法”或”函式”清單,
    看程式語言或平臺而定( Methods, Functions… ),
    而每個 API 主要都是為了達成某特定功能所設計的。
    開發商可以為了不同平臺,設計相同的 API 讓開發者使用,
    也可能會因應不同平臺,製作不同的 API 讓開發者使用。

    2.當 API 數量夠多功能夠繁複並且可互動為用的時候,
    ( 例如為了達成某些功能,常需要同時引用某些 APIs 來完成 )
    開發商就會為了開發便利,而預先撰寫好一些組合好 APIs 的 API
    供開發者使用,來統一有特定需求的開發者能有一致的開發與使用體驗,
    ( 例如讓使用”網路連線”的開發者不需自己處理網路的基礎溝通訊息,
    與錯誤處理方式,使 API 在應用的時候有一定程度的便利性等 )

    然後,也陸續發展出測試、除錯工具,甚至是設計不同平臺開發環境所需的套件,
    尤其針對不同平臺,更是設計了對應的工具來協助開發、除錯;

    SDK 名詞之所以出現,儼然是為了彙整上述這些資源而誕生的,
    我想也可以說成是 API 的包含者(直接使用)與應用者(以便加速開發),
    也因此可以說這兩個是屬於不同層級的東西…

    以 Android 來說:
    a. 我們要擁有 Android SDK 才能開發 Android 應用程式
    ( 針對不同開發系統而不同 Linux, Windows )
    b. Android SDK 裡的 APIs 統統都可以單獨使用,只不過你會
    發現他們都還有許多其他的應用,而且可能還比自己寫來得更有效率
    c. Android SDK 跟開發環境整合後,除了提供程式碼語法錯誤檢查外,
    還提供模擬器平臺讓我們不需要硬體就可以模擬測試
    d. Android SDK 內有測試用的 APIs,來協助我們檢查記憶體用量、
    程式效能以及狀態顯現等功能 ( 當然它建議僅在測試除錯時才使用 )

    以 Facebook 來說:
    a. 我們要下載 Facebook SDK 才能開發應用程式
    ( 針對不同開發語言或平臺而不同,PHP, JavaScript, Android, iOS )
    b. Facebook 官網提供 SDK 詳細的 APIs 解說與使用方法、範例說明等
    c. Facebook 官網提供 線上測試工具,測試某些API的指令與語法

    以 Google Map API 來說:
    網頁開發,只需使用 Google Map API 即可在網頁上開發、使用其功能
    ( 但是在 Android, iOS 上開發則另外需要 Google Map SDK 才行 )

    由此可知,我們可以清楚知道 API 與 SDK 的定義差別了!按鈕進行線上轉換

     
     
     
    轉自:連結:https://www.zhihu.com/question/21691705/answer/107637032

     

    假設你要做一款WiFi可視門鈴,APP功能有:
    1. 視訊對講
    2. APP開鎖
    3. 訪客截圖
    4. 移動偵測
    5. 觸發警報
    6. 人臉識別
    首先,要做1-6的API, 組成了SDK, 然後根據SDK開發Project File專案檔案,製作APP, 門鈴上寫入Firmware韌體(Firmware是門鈴的軟體,是SDK和門鈴溝通的橋樑)。
    如下圖:

    &amp;lt;img src="https://pic1.zhimg.com/50/55c22f6b59d6be64f8e5edfe11ad2358_hd.jpg" data-rawwidth="1361" data-rawheight="313" class="origin_image zh-lightbox-thumb" width="1361" data-original="https://pic1.zhimg.com/55c22f6b59d6be64f8e5edfe11ad2358_r.jpg"&amp;gt;後來,你想升級門鈴,加入新功能
    7. 虹膜識別,做API-7, 組成新的SDK, 生成新的Firmware, 更新到門鈴,搞定。

  • 常用的熱電偶保護管,最高溫度值比較表
    檔案下載
    • facebook
    • Twitter
    • Weibo
  • 溫度精準度怎麼計算?
    • facebook
    • Twitter
    • Weibo

    溫度範圍: 10~400℃
    精度: ±1.4°C (2.5°F) ,2.5% 讀數
    例 :
    若100℃精度98.6~101.4℃
    若100℃讀數97.5~102.5℃
    以最高為準

  • 國家標準技術協會(美國)National Institute of Standards and Technology,簡稱NIST
    • facebook
    • Twitter
    • Weibo

    美國國家標準技術協會係根據美國1988年制定的綜合貿易法案(Omnibus Trade and Competitiveness Act)而更改的機構名稱,其前身為美國國家標準局(National Bureau of Standards,簡稱NBS)。美國綜合貿易法案的主旨在擴展NIST的職掌,以協助美國中小企業界採用新穎的科技新知,以增強其國際競爭力。NIST所提供的技術服務項目,包括度量衡標準、測試方法與技術資料,其主要目的在建立技術基石,增進生產力與創新,以提升美國產業在國際間的競爭力;同時也保證美國國內生產製造與國際產品標準化,進而達到公平交易,以及促進公共安全。該局並與其他政府機構、學術機構與產業界,攜手合作,以完成其主要任務。該局下設置國家度量衡實驗室(National Measurement Laboratory),國家工程實驗室(National Engineering Laboratory),材料科學及工程研究所Institute for Materials Science and Engineering,與國家電腦系統實驗室(National Computer System Laboratoty),以下分別說明之。(一)工程方面:國家工程實驗室下設電腦及應用數學、電子及電機工程、製造工程、建築技術、火災研究及化學工程等6個中心,其主要職掌在規畫設計改善工程標準、規範與實務,其長程基礎研究的計畫內容,可謂包羅萬象。該室並發行新的工程資料、度量技術與測試方法,以及提供度量衡檢定服務。(二)物理及化學評量方面:國家度量衡實驗室負責提供美國必要的物理及化學標準、度量衡方法、參考資料與重要的檢定服務,以促進及保持美國的科技競爭力與實驗設施。該室綜理全美的度量衡事宜,並與其他國家的度量機構聯繫,同時為各政府單位提供顧問與研究服務。(三)材料科學方面:材料科學及工程研究所主要任務在提供全美材料科學方面必要的度量方法,以促進其競爭力,同時為政府機構及產業界提供技術與諮詢服務,該所並設置陶瓷、高分子、冶金、反應器幅射、斷裂與摧毀,及非毀壞性評鑑等部門,提供各項服務。(四)電腦科技方面:國家電腦系統實驗室為美國中央主管機關提供科技服務,如美國國家預算局、聯邦總務署,以支援該機關制定電腦及電信系統方面之政策,其職掌範圍係與電腦研究與發展、通信系統有關。其下設置資訊系統工程,系統與軟體技術、電腦安全管理、系統與網路架構、精密系統等5個部門,並發行一系列的標準叢刊,以供電腦技術方面之參考利用。

  • 何謂A2LA校正單位? 有相關的校正報告範本?
    相關連結 檔案下載
    • facebook
    • Twitter
    • Weibo

    A2LA是美國頂尖的認證機構(美國國家認證實驗室),也是ILAC MRA國際互認組織的會員,在國際間享有極高的知名度與評價,其認證服務橫跨校正,醫學,測試及檢驗領域,是一全方位合格評鑑的認證機構。

  • 流量單位如何換算?
    • facebook
    • Twitter
    • Weibo
  • 快速建立以熱敏電阻為基礎的精確溫度感測電路
    • facebook
    • Twitter
    • Weibo

    溫度感測器是電子業應用最廣泛的感測器之一,應用範圍包括校正、安全性用途,以及暖通空調 (HVAC) 等。儘管應用廣泛,但溫度感測器及其本身的實作,可能會令設計人員很難以最低的成本達到最高的準確度。

    溫度感測有許多種方法。最常見的方法是使用熱敏電阻、電阻溫度偵測器 (RTD)、熱電偶或矽溫度計等溫度感測器。但是,不是選對感測器就大功告成。感測器還必須連接至訊號鏈,而訊號鏈要維持訊號的完整性,並準確地補償特定感測技術的獨特特性,確保準確無誤地以數位方式呈現溫度。

    本文將介紹一個 USB 供電式電路解決方案,有效協助完成這項任務。此方案使用負溫度係數 (NTC) 熱敏電阻,同時結合 Analog Devices 的 ADuC7023BCPZ62I-R7 精準類比微控制器,以準確地監測溫度。

    NTC 熱敏電阻的特性
    熱敏電阻是一種對熱很敏感的電阻,可分為兩種類型:正溫度係數 (PTC) 熱敏電阻和負溫度係數 (NTC) 熱敏電阻。多晶陶瓷 PTC 熱敏電阻的正溫度係數很高,通常用於切換式應用。而 NTC 陶瓷半導體熱敏電阻的負溫度係數很高,因此電阻會隨著溫度上升而下降,因此適合提供精準的溫度量測結果。

    NTC 熱敏電阻有三種操作模式,包括電阻 - 溫度、電壓 - 電流,以及電流 - 時間。第一種模式利用熱敏電阻的電阻 - 溫度特性,能提供最精準的結果。

    電阻 - 溫度電路將熱敏電阻設定於「零功率」狀態下。「零功率」狀態會假設元件的電流或電壓激磁,不會造成熱敏電阻自體發熱。

    在典型的 NTC 熱敏電阻中,例如 Murata Electronics 的 NCP18XM472J03RB 4.7 kΩ 元件 (採用 0603 封裝),電阻 - 溫度響應具有高度非線性 (圖 1)。

     

    圖 1:典型 NTC
    熱敏電阻的電阻 - 溫度響應具有高度非線性,因此設計人員必須設法讓定義溫度範圍內的這種非線性得到控制。(圖片來源:Bonnie Baker;根據 Murata 的電阻值進行計算與繪製)

    圖 1 展示 4.7 kΩ 熱敏電阻的高度非線性。NTC 熱敏電阻的電阻值會隨著溫度而下降,下降的速度是一個常數,稱為 ß (未顯示於圖中)。Murata 的 4.7 kΩ 熱敏電阻的 β 值為 3500。

    熱敏電阻的非線性響應可以在軟體中進行修正,當中搭配高解析度類比數位轉換器 (ADC),以及經驗性三階多項式或查找表。

    不過,還能選擇一個更簡單、便宜且合用的硬體技術,只需將其應用於 ADC 之前,便能在 ±25°C 溫度範圍內控制住熱敏電阻的線性化問題。

    硬體線性化解決方案
    若要達到熱敏電阻輸出的第一階線性化,簡單的方式就是將熱敏電阻和標準電阻 (1%、金屬膜) 以及電壓來源進行串聯。串聯電阻值決定熱敏電阻電路線性區域的中位數。熱敏電阻的電阻值 (RTH) 和 Steinhart-Hart 方程式,則決定熱敏電阻的溫度 (圖 2)。據證實,Steinhart-Hart 方程式是判斷 NTC 熱敏電阻溫度最理想的數學表示式。

     


    圖 2:分壓器
    (RTH 和 R25) 設定將熱敏電阻的響應線性化。ADC0 (ADC 輸入端) 的線性範圍,在大約 50°C 的溫度範圍內。(圖片來源:Bonnie Baker)

    要得出熱敏電阻的實際電阻值 RTH,第一步是定義分壓器的輸出 (VADC0)。接著使用 VADC0 找出 ADC 的數位輸出十進位碼 DOUT,其中 DOUT 取決於 ADC 位元數 (N)、ADC 最大輸入電壓 (VREF),以及 ADC 輸入電壓 (VADC0)。最後,將 R25 (或 25°C RTH 值) 乘以 ADC 代碼數和 ADC 數位輸出十進位碼的比值,就能找出電阻值 RTH。第三步計算程序使用下方的方程式 2 來進行。

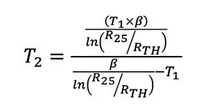
    最後一個計算步驟,是利用先前提到的 Steinhart-Hart 方程式,將熱敏電阻的電阻值轉換成凱氏溫度。ADuC7023 精準類比微控制器利用方程式 4 確定感測器溫度:

    方程式 4
    說明:
    T2 = 測量的熱敏電阻溫度 (K)
    T1 = 298 K (25°C)
    β = 熱敏電阻在 298 K 或 25°C 下的 β 參數。β = 3500
    R25 = 熱敏電阻在 298 K 或 25°C 下的電阻值。R25 = 4.7 kΩ
    RTH = 熱敏電阻在未知溫度下的電阻值,如方程式 3 所計算
    圖 2 中,熱敏電阻在 25°C 時的電阻值 (RTH) 等於 4.7 kΩ。由於 R25 的值等於熱敏電阻在 25°C 時的電阻值,因此分壓器的線性區域集中於 25°C (圖 3)。

    圖 3:
    4.7 kΩ 熱敏電阻和 4.7 kΩ 標準電阻串聯的線性響應,分壓器上有 2.4 V 電壓。(圖片來源:Bonnie Baker;根據 Murata 的電阻值進行計算與繪製)
    圖 3 中,串聯式熱敏電阻系統在大約 0°C 至 +50°C 的有限溫度範圍內,對溫度做出線性響應。在此範圍中,Delta 溫度誤差為 ±1°C。線性化電阻的值 (R25),應該等於相關溫度範圍中點處對應的熱敏電阻值。
    此電路通常在 ±25°C 溫度範圍內取得 12 位元精準度,而熱敏電阻的標稱溫度為 R25 的值。
    USB 型溫度監測器
    電路解決方案中的訊號路徑,最開始是低成本的 4.7 kΩ 熱敏電阻,接著使用 Analog Devices 的低成本 ADuC7023 微控制器。這款微控制器整合四個 12 位元的數位類比轉換器 (DAC)、一個多通道 12 位元連續漸近暫存器 (SAR) ADC、一個 1.2 V 內部參考電壓,以及 ARM7® 核心、126 KB 快閃記憶體、8 KB 靜態隨機存取記憶體 (SRAM) 和各種數位周邊裝置,例如 UART、計時器、SPI 和兩個 I2C 介面 (圖 4)。

    圖 4:溫度感測電路使用 USB 連線進行供電,並使用 ADuC7034 微控制器的 I2C 介面進行數位通訊。(圖片來源:Analog Devices)

    圖 4 中,電路的電源和接地完全都來自於四線式 USB 介面。Analog Devices 的 ADP3333ARMZ-5-R7 低壓降線性穩壓器,使用 USB 5 V 電源來產生 3.3 V 輸出。ADP3333 穩壓輸出為 ADuC7023 的 DVDD 供應電壓。ADuC7023 的 AVDD 電源需要進行額外的濾波,如圖所示。此線性穩壓器在 USB 電源和 IN 引腳之間也有濾波器。

    溫度資料也是透過 USB D+ 和 D- 介面引腳來交換。ADuC7023 能夠使用 I2C 協定來傳輸和接收資料。這個應用電路使用雙線式 I2C 介面,來傳輸資料和接收設定指令。 

    此應用使用以下 ADuC7023 特點:

    12 位元 SAR ADC
    搭配 SRAM 的 Arm ARM7TDMI。整合式 62 KB 快閃記憶體所執行的使用者代碼,會設定和控制 ADC、管理 USB 介面的通訊,並處理來自熱敏電阻感測器的 ADC 轉換作業。
    I2C 端子是接至主機 PC 的通訊介面。
    兩個外部開關/按鈕 (未顯示) 可強制零件進入快閃啟動模式:透過保持 DOWNLOAD (下載) 低位準和切換 RESET (重置) 開關 (而不是一般使用者模式),ADuC7023 將會進入啟動模式。在啟動模式中,利用 USB 介面連接元件的相關 I2CWSD 軟體工具,可重新對內部快閃記憶體進行編程。
    VREF 為帶差參考電壓。系統中其他的電路參考電壓也能使用此參考電壓。為了抑制雜訊,這些引腳連接最小 0.1 μF 的電容。
    由於 ADuC7023 採用小尺寸 (5 mm × 5 mm) 的 32 腳位晶片尺寸封裝,因此整個電路在 PC 板上佔據非常小的面積,能節省成本及空間。

    即使具有強大的 ARM7 核心和高速 SAR ADC,ADuC7023 仍提供低功率的解決方案。整個電路的功耗通常為 11 mA,ARM7 核心的執行頻率為 5 MHz,主要 ADC 用來測量外部熱敏電阻。在兩次溫度量測之間,可以關閉微控制器和/或 ADC,進一步節省功耗。

    佈局考量事項
    圖 4 中的訊號處理系統,其實內部大有文章。整體來看,此系統中只有三個主動元件。雖然看似簡單,但在佈局方面其實存在一些有趣的挑戰。

    例如,ADuC7023 微控制器是十分複雜的類比和數位系統,需要對接地規則特別留意。此系統在類比域中也許看起來「速度很慢」,但其板載式追蹤保持 ADC 是速度很快的多通道元件,取樣速度達 1 MSPS,時脈速度最快則達到 41.78 MHz。在此系統中,時脈的起落時間只有幾 ns 而已。這些速度將此應用歸為高速應用。

    很明顯,混合訊號電路需要獲得特別關注。以下四點式檢查清單涵括主要面向:

    使用電解電容
    選擇較小的電容
    接地面考量事項
    可選購小型鐵氧體磁珠
    電路中通常使用 10 mF 至 100 mF 的大型電解電容,與晶片之間的距離不超過兩吋。這些電容充當成電荷庫,以因應經由電源引線電感產生的瞬間電荷需求。

    電路中較小的電容 (一般介於 0.01 mF 至 0.1 mF),擺放的位置會盡可能靠近元件的電源引腳。這些電容的目的是迅速將高頻雜訊傳送至地面。

    解耦電容下方的接地面,會將高頻電流解耦,並將 EMI/RFI 的放射量減到最低。接地面應該要大,而且具有低阻抗值。為了將電感值降到最低,電容是藉由過孔或短式走線來連接至地面。

    除了圖 4 的解耦電容外,需要使用鐵氧體來為 USB 纜線提供 EMI/RFI 防護。此電路中使用 Taiyo Yuden 的 BK2125HS102-T 作為鐵氧體磁珠,在 100 MHz 下的阻抗值為 1000 Ω。

    結論
    溫度感測器是應用最廣泛的感測器之一,但設計方面的需求持續激發設計人員降低成本和尺寸,同時提高感測準確度。本文將納入這些考量,針對低功率的 USB 型商用熱敏電阻系統提供實作說明。此系統結合 Analog Devices 的小型 12 位元 ADC,以及高精準度 ADuC7023 微控制器解決方案。這項組合成功利用電阻控制具有非線性行為的 NTC 熱敏電阻,以準確地感測和監測溫度。

    NTC熱敏電阻阻值與溫度對照表

  • ISO振動管制標準卡
    檔案下載
    • facebook
    • Twitter
    • Weibo
  • 溫濕度如何比對校正?
    • facebook
    • Twitter
    • Weibo

    溫濕度,是空氣中的分子,會漂散,也不穩定,比對在同一位置,小的空間 ,才能真正的比對差異。。。但要在同一個等級的儀表,才有意義

    檢測結果:錯誤執行調校鍵,引起ZERQ / SPAN (零點/滿刻度)點的數據偏移

    同上,所有售出的溫濕度計產品,皆已調校過,不需執行調校程序, 若未經專業訓練或未配置標準溫濕度環境,或比對的信號產生器,自行調校會造成溫度,濕度讀值,差異變大或呈非線性狀態。。

    基於專業告知~
    同等級的儀表,除了指『誤差的精度,同級』
    感測的原理,同級』~~
    而『水銀溫度計』,並非同級的產品 ,感測的原理,特性,介質也不同。。
    一為水銀,一為電子式晶片(半導體/CMOS)

  • 流量計類型與原理
    相關連結 
    • facebook
    • Twitter
    • Weibo

    原理
    電磁流量計利用法拉第感應定律來檢測流量。
    在電磁流量計內部有一個產生磁場的電磁線圈,以及用於捕捉電動勢(電壓)的電極。正是由於這一點,電磁流量計才可以在管路內似乎什麼也沒有的情況下仍然可以量測流量。
    按照法拉第感應定律,磁場內流動的導電液體會產生電動勢(電壓),此電動勢會和管路內徑、磁場強度以及平均流速成比例。換言之,在磁場中流動之液體的流速會轉換成電。(E 與 V × B × D 成比例)

    隨著流量變化,電極捕捉的電動勢(電壓)也會按如下所述變化。

    電磁流量計的特點

    根據上文所述的原理,電磁流量計一般具有以下特點。
    優點 ・不受液體的溫度、壓力、密度或黏度的影響
    ・能夠檢測包含污染物(固體、氣泡)的液體
    ・沒有壓力損失
    ・沒有可動部件(提高可靠性)
    缺點 ・無法檢測不導電的氣體與液體
    ・需要一根短直管
    導電率
    使用電磁流量計時,有一點要特別注意。由於電磁流量計是以電磁感應定律為依據,因此只能檢測導電液體的流量。是否為導電液體由導電率決定。那麼何謂導電率呢?
    導電率通常是表示電流動容易程度的一個值。與其相對的數值是電阻率,它表示電流動的困難程度。常用單位是 S/cm。要確定電流動的容易程度,方法是將 1 cm2 的電極以相距 1 cm 的距離放置。一些實際量測的導電率示例如下,自來水的導電率在 100 到 200 μS/cm 之間,礦泉水為 500 μS/cm 或以上,純水為 0.1 μS/cm 或以下。
    為了計算導電率,則需要正確計算電極面積與電極間的距離等條件。這讓計算相當困難。確定導電率,一般是使用導電率計( US$50-1000) 進行量測。
    為什麼水能導電?
    H2O 本身是穩定的分子,並不能導電。
    那麼,為什麼電能夠在水中流動呢?
    水是否能導電,其中的奧秘是由水中是否存在雜質決定。

    除 H2O(水分子)之外,水中還含有 Ca2+(鈣離子)與 Mg2+(鎂離子)。所謂的硬水與軟水,是根據給定量水中所含的離子量區分。由於這些離子會在水中導電,因此自來水、地下水以及其它富含離子的水都具有導電性質。此外,由於純水只包含 H2O 而不包含任何雜質,因此它不能導電。

    快速檢測方法
    如果只是要確認是否有導電性,可以使用標準的萬用表。將測試儀設為量測電阻值的模式,然後將兩根探針放入液體中。即使測試儀的指針只是稍微向零移動,也代表有電在流動。 * 反之,如果指針不偏離 ∞,則沒有導電性。此時可以判斷為不能夠使用電磁流量計進行檢測。

    *為謹慎起見,需要使用導電率計進行確認。

  • 振動計的振幅大小與單位轉換
    相關連結 
    • facebook
    • Twitter
    • Weibo

    振動幅度(amplitude)簡稱振幅,代表振動的大小或強度。其另一個涵義則代表著機器設備的健康狀況,當機器的振動強度小時,代表機器的狀況良好,反之,振動愈大則代表機器的問題愈嚴重,目前ISO即以振幅大小來規範轉動機器設備的等級。
    振幅強度可甀三種物理量來表示,有位移、速度及加速度三種,此外,振幅大小則因為描述的方式不同,而有幾種較常用的表示方式,如Peak to Peak值(簡稱P-P值)、Peak值(簡稱P值)、RMS值等,若以正弦波來表示的話,其換算的關係式如下:
             P-P值 = 2 ×P值
             P值 = 1.414 ×RMS值。

    振幅單位普遍的使用習慣可以下表來說明:

    其中µm = mm/1000,mil = inch/1000,g = 981m/s

    另外有人使用dB值(分貝值)做為振幅單位,而其換算公式則為dB =20 log10( V/Vref) ,其中Vref有ISO及美制二種換算值,Vref的ISO值為
    1 µm/Sec,Vref的美制值為1 ×10nm/sec。

  • 各種線材的差異比較
    檔案下載
    • facebook
    • Twitter
    • Weibo
  • 接地電阻特殊應用
    相關連結 
    • facebook
    • Twitter
    • Weibo

    測量接地電阻
    中心站
    在檢查中心站的接地時,需要三種不同的測量。
    測試之前,定位中心站的 MGB (主接地棒),確定現有接地系統的類型。如本頁所示,MGB 的接地線連接至:

    MGN (多點接地中性線)或用戶引入線
    地基
    水管
    結構或建築鋼材
    首先,對 MGB 連接出的全部獨立接地進行無接地棒測試。目的是確保所有接地已連接,尤其是 MGN。注意,您測量的不是獨立電阻,而是所連接的環路電阻,這點非常重要。如圖 1 所示,連接 Fluke 1625 或 1623 以及感應鉗和測量鉗, 電流鉗夾在每個連接上來測量 MGN、地基、水管和建築鋼材的環路電阻。

    其次,對這個接地系統進行 3 極電位降法測試,按圖 2 所示連接至 MGB。為了能夠連接遠端地,許多電話公司利用不使用的電纜對拉出長達數英里。記錄測量值,並每年重複測量。

    第三,利用 Fluke 1625 或 1623 的選擇性測試法,測量接地系統的獨立電阻。如圖 3 所示連接 Fluke 測試儀。測量 MGN 的電阻,該值為 MGB 某個分支的電阻。然後測量地基。該讀數為中心站地基的實際電阻值。現在,移至水管,然後重複測試,獲得建築鋼材的電阻。利用歐姆定律,很容易驗證這些測量結果的準確度。獨立分支的電阻,計算時,應等於整個系統的電阻(因為不可能測量所有接地元素,所以允許有合理誤差)。

    這些測試方法提供了接地系統的獨立電阻及其實際行為,所以能夠最準確的測量中心站。儘管非常準確,但測量結果並不能說明系統作為一個網路時的行為如何,因為在發生電擊或故障電流時,所有一切均連接在一起。

    為實現這點,您需要對獨立電阻進行更深入的一些測試

    首先,對 MGB 的每個分支進行 3 極電位降測試,並記錄每一測量結果。再次使用歐姆定律,這些測量值應等於整個系統的電阻。從計算結果中,應看到與總 RE 值存在 20 % 至 30 % 的偏差。

    最後,採用選擇性無接地棒法,測量 MGB 的不同分支的電阻。其工作原理與無接地棒法類似,但使用兩個獨立鉗子的方式不同。我們將感應電壓鉗夾在連接至 MGB 的電纜上,由於 MGB 連接至外來電源,與接地系統並聯,所以滿足條件。將測量鉗夾住連接至地基的接地電纜。當我們測量電阻時,這個就是地基加上 MGB 並聯通路的實際電阻。由於其歐姆值應非常低,所以對測量讀數應沒有實際影響。可對接地條的其它分支重複這一過程,例如水管和建築鋼材。

    在利用無接地棒選擇性測量法測量 MGB 時,將感應電壓鉗夾住連接至水管的線路(因為銅水管的電阻非常低),讀數則僅僅是 MGN 的電阻。

  • 接地電阻應用
    相關連結 
    • facebook
    • Twitter
    • Weibo

    什麼要接地,又為什麼需要測試?為什麼要接地?
    接地不良不但會造成不必要的停工,而且還非常危險,增大設備故障的風險。如果沒有有效的接地系統,我們就會受到電擊的威脅,更別提儀器故障、諧波失真問題、功率因數問題,以及間歇性的難題。如果故障電流不能通過設計和維護適當的接地系統泄流向大地,它們將尋求其它出路,包括人員。以下組織提供關於接地安全領域的建議和/或標準:
    OSHA (職業安全與健康局) »
    NFPA (美國消防協會) »
    ANSI/ISA (美國國家標準學會/美國儀器學會) »
    TIA (電信行業協會) »
    IEC (國際電子電機委員會) »
    CENELEC (歐洲電子技術標準委員會) »
    IEEE (電氣和電子工程師協會) »
    然而,良好的接地不僅是為了安全,而且還用於預防工廠和設備的損壞。良好的接地系統將提高設備的可靠性,降低閃電或故障電流造成損壞的可能性。每年由於電氣火災給工廠造成的損失多達數十億。這還不包括相關的訴訟費用,以及人員和單位生產力的損失。
    為什麼需要測試接地系統?
    隨著時間的推移,高含水量、高鹽分和高溫度的腐蝕性土壤會腐蝕接地杆及其連接。所以,儘管接地系統在最初安裝時具有非常低的接地電阻值,如果接地杆被腐蝕,接地系統的電阻就會增大。

    接地電阻測試儀,例如 Fluke 1623 和 1625,是不可或缺的排障工具,說明您保證系統正常工作。當出現令人沮喪的間歇性電氣故障時,故障可能與接地不良或電能品質低下有關。

    這就是為什麼強烈建議每年對全部接地及接地連接進行檢查、作為預測性維護計畫一部分的原因。定期檢查期間,如果實測電阻升高超過 20 %,技術人員就應該調查問題原因,通過更換或向接地系統增加接地杆進行修正,降低電阻。

    什麼是接地,它又有什麼作用?
    美國國家電氣規範(NEC)的文獻 100 將接地定義為:“無論是人為還是意外形成的電路或設備與大地之間的導電連接,或者與作為地面的導體之間的連接”。在提及接地時,實際上是兩個不同的問題:接地和設備地。接地通常是從電路導體(通常為中性線)至插入大地的接地電機之間的專門連接。設備地確保合適接地結構內的設備正常工作。除兩個系統之間的連接外,這兩個接地系統之間要求保持獨立。這樣可防止電位差造成雷擊時的飛弧現象。接地的目的除了保護人員、工廠和設備安全外,還要為故障電流、雷擊、靜電放電、EMI 和 RFI 信號及干擾提供耗散通路。

    什麼樣的接地電阻值屬於良好?
    至於什麼情況才是接地良好,以及需要接地電阻為多少,存在許多爭議。理想情況下,接地電阻值應為零歐姆。 
    也沒有哪個標準接地電阻門限被所有機構認可。然而,NFPA 和 IEEE 推薦接地電阻值為 5.0 歐姆或更低。 
    NEC 規定“ 確保系統對地阻抗小於EC 250.56 中規定的 25 歐姆。在含有敏感性設備的設施內,應小於 0.5 歐姆或更小。” 

    電信行業往往採用 5.0 歐姆或更低作為其接地及壓焊的門限值。 
    接地電阻的目的是達到經濟上和可行性上能夠實現最小接地電阻值。

  • PT100Ω溫度對照表為何?
    檔案下載
    • facebook
    • Twitter
    • Weibo
  • 如何自我檢測「熱電偶」?「測溫抵抗體」故障?
    檔案下載
    • facebook
    • Twitter
    • Weibo

    「熱電偶」: T.C 可以電錶的DC電壓檔經由「起電力對照表」觀察,當「溫度」變化時對應的「mv」值是否穩定且線性變化,即可判斷其斷線或「老化」

    「測溫抵抗體」: R.T.D Resistance Temperature Detector
    可分為三種PT50Ω : 當溫度為0℃輸出為50Ω 
                         PT100Ω :  當溫度為0℃輸出為100Ω
                         PT200Ω :  當溫度為0℃輸出為200Ω 
    正常室溫時(25℃),電錶的"Ω"檔量測約109~111Ω
    若為"∞"或「上下不穩定」跳動即為故障!!

  • 膜厚計測試原理​?
    檔案下載
    • facebook
    • Twitter
    • Weibo
  • 熱電偶測溫線/補償線規格參考~
    檔案下載
    • facebook
    • Twitter
    • Weibo
  • 貴公司生產的熱電偶/測溫線有材質証明?
    • facebook
    • Twitter
    • Weibo
  • 我想購買達因筆,請問要怎麼選選擇?
    • facebook
    • Twitter
    • Weibo

    選擇達因筆 (又稱表面張力筆、表面張力測試筆) 需要考慮幾個關鍵因素:
    *1. 測量範圍:*
    達因筆的測量範圍以達因/厘米 (dyne/cm) 為單位。不同液體的表面張力不同,因此需要選擇測量範圍涵蓋目標液體表面張力的達因筆。常見的測量範圍有:
     *低表面張力:** 18-28 dyne/cm,適用於評估
    聚烯烴塑料(例如聚乙烯、聚丙烯)的表面處理效果。
     *中等表面張力:** 30-40 dyne/cm,適用於評估大多數
    塑料塗層的表面處理效果。
     *高表面張力:** 36-56 dyne/cm 或更高,適用於評估
    金屬玻璃等高表面能材料。
    *請務必確認您需要測量的液體的表面張力範圍,並選擇相應測量範圍的達因筆。*  如果不確定,可以選擇範圍較廣的達因筆。
    *2.  精度:*
    達因筆的精度通常以 ±1 dyne/cm 或 ±2 dyne/cm 表示。精度越高,測量結果越可靠。如果您需要非常精確的測量結果,應該選擇精度更高的達因筆。
    *3.  使用方法:*
    達因筆的使用方法相對簡單,但仍需注意以下幾點:
     *清潔:** 使用前和使用後都需要清潔達因筆,以確保測量準確性。
     *儲存:**  將達因筆儲存在陰涼乾燥的地方,避免陽光直射。
     *校準:**  有些達因筆需要定期校準,以確保測量精度。
    *4.  價格:*
    達因筆的價格因品牌、測量範圍和精度而異。您可以根據預算和需求選擇合適的達因筆。
    *5.  品牌和供應商:*
    選擇信譽良好的品牌和供應商可以確保產品質量和售後服務。一些知名的達因筆品牌包括:
     *ACCU DYNE TEST:**  提供各種測量範圍的達因筆,以及其他表面處理檢測工具。
     *Tantec:**  提供各種表面處理設備和檢測工具,包括達因筆。
     *Enercon Industries:**  提供各種表面處理設備和檢測工具,包括達因筆。
    *購買達因筆的途徑:*
     *線上購物平台:**  例如:達因國際、斯馬特儀表...等。
     *實驗室儀器供應商:**  可以提供更專業的產品和服務。
     *達因筆製造商:**  可以直接從製造商購買。
    *總結:*
    選擇達因筆時,最重要的是根據您需要測量的液體的表面張力範圍選擇合適的測量範圍。  其次,考慮精度、使用方法、價格和品牌。  建議您比較不同品牌和供應商的產品,並選擇最符合您需求的達因筆。

  • 客製化的熱電偶,可提供測試報告?
    • facebook
    • Twitter
    • Weibo
  • 「金屬保護管」製作型式?法蘭(Flange)規格?
    • facebook
    • Twitter
    • Weibo
  • 熱電偶使用溫度上限及原理與特性?
    • facebook
    • Twitter
    • Weibo

    熱電偶之原理:

    若將二種不同的金屬線A與B互相連接成一個迴路,且在兩個接合點間給予溫度差,則在金屬線的兩端會產生熱電動勢E,這種因為溫度差所造成的熱電壓效應稱為席貝克(Seebeck)效應。而熱電動勢E的大小與金屬線AB之材料性質有關,並和兩端點溫度差互成比例的關係。一般在利用熱電偶量測溫度時,其產生的熱電動勢很小(約10μV左右),所以必須再加裝一放大器來放大電壓訊號。

     

    熱電偶之特性:

    可量測之溫度範圍廣泛,且感測器大多已規格化
    熱電偶的最高使用溫度與金屬線徑大小、材料有關
    不必附加其他電源來驅動感測器
    可藉由電路的設計獲得極佳之精確度
    熱電偶之種類:

    熱電偶記號 測定溫度範圍(℃) 熱電動勢(mV) 優點 缺點 材料
    + -
    高溫用

    K

    -200~1200

    -5.89/-200℃

    48.8/1200℃

    1.廣泛應用於工業

    2.抗酸性佳

    具線性性質

    1.不適用於CO及亞硫酸瓦斯中

    2.在高溫還原性空氣中會劣化

    鋁、錳、矽等鎳合金
    中溫用

     

    E

    -200~800

     

    -8.82/-200℃

    61.02/800℃

    1.具有最大之熱電動勢 1.不可耐於還原性空氣中使用

    2.電氣電阻大

    J -200~350 -7.89/-200℃

    72.28/750℃

    1.可耐於還原性空氣中使用 1.容易生鏽

    低溫用

    T

    -200~350

    -5.6/-200℃

    17.82/350℃

    1.在弱酸性、還原性空氣中很安定 1.300℃以上銅會氧化

    超高溫用

     

    B

    500~1700 1.24/500℃

    12.4/1700℃

    1.能耐於酸性空氣中 1.不可耐於還原性空氣中使用

    白金

    白金

    R 0~1600 0/0℃

    18.84/1600℃

       

    白金

    白金
    S 0~1600 -7.89/-200℃

    72.28/750℃

       

    白金

    白金
  • 儀器,儀表的IP等級差異性?
    • facebook
    • Twitter
    • Weibo
  • 汽車冷氣系統如何進行冷媒測漏程序?
    相關連結 
    • facebook
    • Twitter
    • Weibo

    冷氣管路測漏的方法很多,一般的常見的程序如下:

    1.氣體測漏儀器:目前保修廠常採用的新式二極體電子冷媒測漏儀,已具備標準氣體校正功能,靈敏度與穩定性的表現非常優良,不是以前的不穩定會誤報的電子冷媒測漏儀能比擬的,缺點是感知器價格貴(有時品質不穩定,感知器更換率高),可直接偵測冷媒洩漏的部位,而少部份的冷氣零件製造廠使用氦氣測漏儀,則需充填氦氣,再偵測氦氣從哪個洩漏點漏出來,此方法適合大空間洩漏點定向與死角部位偵測,傳統泡沫測試看不到的洩漏狀態,新式二極體電子測驗儀器可以精確鎖定冷媒微量洩漏點。

    2.充填螢光劑(螢光劑要符合SAE標準J2297),螢光劑會跟冷媒/冷凍油混合,從洩漏點滲漏出來,再用螢光燈(紫外線燈)照射冷氣管路,有螢光劑反應的部位就是洩漏點,此方法適合確認冷媒間歇性洩漏點的位置,缺點是充填螢光劑以後,冷氣還要使用1~2星期的時間,螢光劑會跟冷媒/冷凍油洩漏量夠多,螢光燈才能找出洩漏點。在2006年以前,已有廠商開發出專業的設備可將冷氣管路內的螢光劑清洗乾淨(含壓縮機、儲液筒內部),車主不必擔心充填符合SAE標準J2297的螢光劑對冷氣管路零件有何不良影響。

    3.冷氣管路系統充填氮氣加壓(避免水份進入),再用微量漏氣偵測劑或肥皂水塗抹在冷氣管路系統零件上,洩漏點可看到泡沫逐漸增加。也可以將冷氣管路單一零件拆下來(如壓縮機、冷凝器等),再使用特殊接頭封住零件進出口管路,單獨充填氮氣加壓,搭配壓力錶,監控冷氣管路正壓力是否會下降。使用高壓空氣泵浦(壓縮機)充填高壓空氣加壓,很可能會把水份充填至冷氣管路系統內,導致抽真空時間增加或冷媒/冷凍油易分解劣化的結果。此方法也是傳統的冷媒測漏方式,現代車輛引擎室空間狹窄,冷氣管路零件有許多地方與死角,不易塗抹微量漏氣偵測劑或肥皂水,所以目視也無法觀察到洩漏點產生的泡沫。

    4.冷氣管路系統使用真空泵浦抽真空,搭配壓力錶或水銀真空計/電子真空計,監控冷氣管路負壓力是否會上昇。也可以將冷氣管路單一零件拆下來(如壓縮機、冷凝器等),再使用特殊接頭封住零件進出口管路,單獨抽真空,搭配壓力錶,監控冷氣管路正壓力是否會上升。此方法只能確定冷氣管路系統有無洩漏狀態,無法觀察何處洩漏,Miller曾以真空負壓力冷氣管路系統洩漏狀態10小時以上,壓力錶指針完全沒動,不過直接以設備充填冷媒加壓時,用新式二極體電子冷媒測漏儀卻很快發現冷媒洩漏點。

    5.將冷氣管路單一零件拆下來(如壓縮機、冷凝器等),再使用特殊接頭封住零件進出口管路,單獨充填氮氣加壓,置入水中觀察是否會從洩漏點冒出氣泡。加壓的程序要注意壓力值的設定,有的汽車冷氣管路系統的零件製造廠會註明低壓側零件加壓測漏的壓力值(如蒸發器),不能超過10kg/c㎡左右,如果是針對全部的汽車冷氣管路系統加壓測漏,建議您壓力值不要超過10kg/c㎡左右,除。除非是單獨針對高壓側零件加壓測漏(如冷凝器),壓力值才能增加至20~ 25 kg /c㎡左右。此程序也是傳統的測漏方式,不易發現冷媒間歇性洩漏點的位置(冷氣管路接頭、壓縮機前油封...),比較適合特定零件二次確認或新品組裝前的預測漏程序,如果將全車零件逐一拆下單件測漏,不但耗時,而且會增加零件接頭受損或變形的機率。

    6.以目視觀察冷氣管路上滲漏擴散的油痕(冷凍油、螢光劑...),對確認冷媒洩漏點也有很大的助益,尤其碰到低洩漏量、間歇性漏冷媒(冷凍油)的情況,有時目視觀察比其他方式更快速,但是目視觀察容易被其他污染源干擾,如引擎機件漏油,滲漏擴散到壓縮機上,就不容易分辯是否為壓縮機間歇性漏冷媒(冷凍油)的情況。

    冷媒回收機使用不當,快速回收有可能將冷凍油也回收,導致冷氣管路內冷凍油不足。冷媒洩漏量太大,冷凍油會跟著漏出來,冷媒如果補充太多次,冷氣管路內冷凍油會越漏越少。冷氣管路內冷凍油不足、越漏越少,會發生壓縮機潤滑不良的問題,輕則冷氣系統溫度/壓力高,冷氣不冷,重則壓縮機受損/咬死,不可忽視此問題。

    冷氣管路零件會漏冷媒的地方非常多,從壓縮機、高壓軟管、低壓軟管、冷凝器、高壓鋁管(很多不只1條...)、儲液筒、壓力開關、蒸發器、膨脹閥、低壓鋁管(很多不只1條...)等零件本體都有可能發生破損滲漏冷媒的問題,將上述零件連接組合成一體的接頭部位,也會產生接頭龜裂/腐蝕、O形環硬化等原因,進而發生滲漏冷媒的問題,需要進行冷媒測漏程序,才能確定哪些部位需要進行拆修或更換的程序,檢修項目確認以後,才能進一步估算所需的工時與費用。

  • 何謂熱電偶?
    • facebook
    • Twitter
    • Weibo

    熱電偶是利用Seebeck原理,兩條不同材質的金屬絲結點,如下圖T點,該點隨待測物溫度不同而產生不同的電動勢,量取該電壓,即可得到溫度。

  • 如何按裝液位計?
    • facebook
    • Twitter
    • Weibo

    § 液高轉換型連續式液位指示計 §
    ☆使用注意事項☆
    1.切勿用手或他物觸摸液位感應器之內部薄膜,以免液位感應器受損。
    2.請勿破壞耐腐蝕型液位感應器之耐蝕薄膜,以免影響感應器之精確度及耐蝕性。
    3.液位感應器按裝時,必須考慮桶槽底部是否會產生沉積物?
    如會產生沉積物,則必須將測定起始點(0%)提高,以免堵塞感應器。
    4.液位感應器水平按裝時,必須按裝於桶槽之獨立管口,不可按裝於出料管口或清
    洗洩料管口。
    5.液位感應器水平按裝時,必須裝設一手動凡而,以利維修拆裝之便。
    6.桶槽必須先完成試壓‧試漏‧清洗等工事之後才可進行液位感應器之按裝工作,
    如此方可避免液位感應器受損。
    7.液位感應器必須避免外力衝擊或撞擊。

    § 連續式液位指示計 ZERO & SPAN 校正調整說明 §
    1.當液位降離測定之最低點(0%)時,請調整ZERO旋鈕,使其達到應輸出之值。
    2.若液位高於測定之最低點時,切勿調整ZERO旋鈕。
    3.當液位達到測定之最高點(100%)時,請調整SPAN旋鈕,使其達到應輸出之值。
    4.若液位ㄧ時無法達到測定之最高點(100%)時,至少須使液位先達到測定高度ㄧ
    半(50%)以上時,方可調整SPAN旋鈕,使其達到應輸出之值,等到以後液位再
    升高時,再做校正。

  • 測量單位_中英對照表何處可下載?
    檔案下載
    • facebook
    • Twitter
    • Weibo

    購買儀器(儀表)前確認"量測單位"的正確是尋找產品很重要的關鍵喔!

  • 何謂熱電偶?測溫抵抗體 ?熱電偶原理 ?
    相關連結 
    • facebook
    • Twitter
    • Weibo
  • 熱密度_熱導率單位換算?
    檔案下載
    • facebook
    • Twitter
    • Weibo
  • 何謂濕度?露點?水蒸器壓?
    • facebook
    • Twitter
    • Weibo
  • 何謂真空?
    • facebook
    • Twitter
    • Weibo

    真空的定義為“一空間之氣壓小於大氣壓力”,實際上真空標準是以 壓力標準為依據而導出的。
    在大氣壓力範圍供使用之壓力原級標準器有兩種:氣體式活塞壓力計(Gas Piston Gage)及汞柱壓力計(Mercury Manometer)

  • 流量計的K值是什麼?該如何計算?或設定?它會影響測量的精確度嗎?
    • facebook
    • Twitter
    • Weibo

    流量計的 K 值(K-factor) 是指流量計在測量單位體積或質量的流體時,所對應的脈衝數或信號輸出數量。換句話說,它表示流量計 每單位流量會產生多少個信號脈衝,通常以 「脈衝數/單位體積(如 PPL,Pulses Per Liter)」或「脈衝數/單位質量」 來表示。

    簡單來說:
    •K 值 = 訊號輸出數量 / 測得的流體體積或質量
    •例如:如果一個流量計在流過 1 升水時輸出500個脈衝,則其K值為500PPL(500脈衝/升)。

    如何計算 K 值?
    K 值通常由 流量計製造商 透過標定(calibration)測試來提供,但如果需要重新計算或校準,可以使用以下方法:
    1. 公式計算

    K=Pulses
         -------

    •例子:
    •在測試中,一個流量計記錄了10,000個脈衝,而實際測得的流體流量為20升。
    •則:

        10,000
    K=-------=500 PPL
           20

    2. 透過校準設定

    如果測量結果與實際值有誤差,可透過校準來調整 K 值。例如:
    •假設理論K值為500PPL,但測量結果比實際流量少 2%(低報)。
    •為修正誤差,K 值可調整為:

    K=K x
     

    •例如:
    •實際流量 = 100 升
    •測得流量 = 98 升
    •新K值:

                   100
    K=500 x -----=510.2

                    98

    K值如何影響測量精度?

    K值設定不準確會直接影響流量測量的精確度:
    1.K值過高(脈衝數過多)→ 測得的流量會偏小
    2.K 值過低(脈衝數過少)→ 測得的流量會偏大


    3.誤差來源:
    •安裝位置不當(如管道內有氣泡、渦流影響)
    •流體特性改變(如密度、黏度不同)
    •流量計老化或磨損(影響感應器靈敏度)

     

    因此,在更換流量計、使用不同流體、或發現測量誤差時,都需要重新確認或調整 K 值。

    容易理解的比喻

     

    把流量計想像成一個數硬幣的機器:
    •K 值就像機器的設定參數,決定 每個硬幣的重量與數量轉換。
    •如果設定的 K 值不準,可能 數得比實際少(低報)或多(高報)。
    •當發現機器數得不準確時,就需要重新調整 K 值來修正誤差。

     

    結論
    •K 值決定了流量計的輸出信號與實際流量的對應關係,影響測量精度。
    •計算方式是 脈衝數 ÷ 實際流量,並可透過校準來調整。
    •在安裝、使用新流體或發現測量異常時,應確認並可能需要調整 K 值。

    希望這樣的解釋能讓你更容易理解!如果有進一步的應用場景,歡迎再討論!

  • 請問有各式液位計,流量計,安裝示意圖?
  • 圓盤壓力記錄器出廠時,是否有附校正報告?校正程序為何?
    • facebook
    • Twitter
    • Weibo

    校正需另外選購,校正費用報價如下 >> 

    https://www.smartmeter.com.tw/ugC_ShowroomItem_Detail.asp?hidShowID=146

12下一頁 > 共 51